首页
中心概况
现任领导
历史沿革
动管会
伦理委员会
新闻动态
新闻资讯
通知公告
技术专栏
常见问题
机构设置
组织机构
中心职责
部门职能
许可证
质量控制
伦理申请
政策法规
动物生产
动物订购
供应品系
设施介绍
动物实验
设施介绍
操作规范
工作流程
表型分析
部门介绍
仪器介绍
服务定价
仪器预约
科研服务
转基因中心
服务内容
服务流程
校内共享品系
教学培训
教学课堂
人员培训
党群工作
支部设置
党群活动
工会设置
文件下载
饲养服务文件下载
动物供应服务文件下载
转基因服务文件下载
其他下载
新闻动态
新闻资讯
通知公告
技术专栏
常见问题
当前位置:
首页
新闻动态
通知公告
通知公告
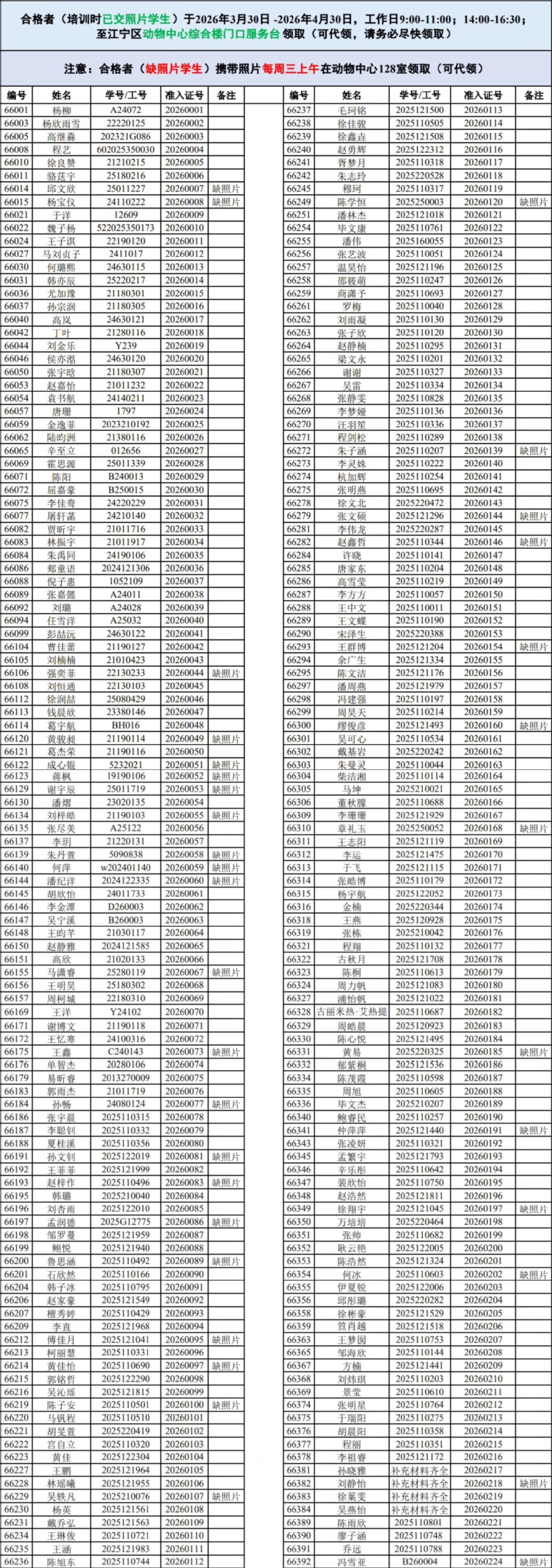
2026年66期准入证合格名单(2026.3.30)
发布时间:2026-03-30
作者:高芸